收藏本站
首页
新利网上注册首页(中国)官方网站
公司简介
公司规模
公司荣誉
新利网上注册首页(中国)官方网站
新闻动态
企业资讯
行业报道
医药知识
商务招商
新利网上注册首页(中国)官方网站
人才招聘
会员中心
新闻动态
企业资讯
行业报道
医药知识
当前位置:
首页
>
企业资讯
>
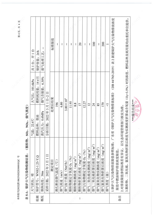
2022年3月废气检测
2022年3月废气检测
发布时间:2022-04-29 10:33:53 点击数:
上一篇:
2022年2月废气检测
下一篇:
2022年3月废水检测
官方微信扫一扫
马博手机平台
|
乐竞在线注册
|
杏彩手机网
|
九游(9Game)官方网站
|
好博官网
|
UED在线登录官网
|
泛亚电竞
|
乐竞手机平台
|
荣耀体育在线开户
|